威廉鱷魚
定義
威廉鱷魚指標是一種趨勢追蹤指標,基於金融市場和個別證券的趨勢通常低於橫向區間的趨勢。它使用平滑的移動平均線來分析市場趨勢。該指標的開發考慮到機構和個人,通常在市場趨勢強勁時獲得更多利潤。
歷史
威廉鱷魚指標首先由經驗豐富的交易員Bill Williams引入。Williams是市場心理學的早期先驅,他認為投資者和交易者的情緒會影響市場表現和隨後的趨勢。
計算
威廉鱷魚指標在計算中使用簡單移動均線(SMA)指標,以將更多平滑的平均線增加到通常慢速指標轉向的結果中。該指標使用三個平滑的移動平均線(MA)設定在斐波那契數的週期:5、8和13。
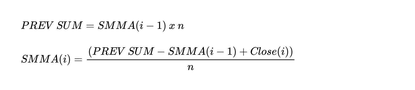
威廉鱷魚指標的計算由以下公式表示:
簡單移動均線(SMA):

後續值如下:

定義:
SUM1:n個時期的收盤價之和
PREVSUM:前一K線的平滑總和
SMMA1:第一個K線的平滑移動平均線
SMMA(i):當前K線的平滑移動均線(不包括第一根K線)
CLOSE(i):當前收盤價
n:選擇的平滑週期
使用的三個移動平均線以三種主要方式構成鱷魚線:顎、牙齒和嘴唇/嘴巴。這些成分的開盤和收盤取決於它們對不斷變化的趨勢和類似交易區間的後續反應。讓我們更深入地了解一下威廉鱷魚指標的每個功能。
顎。鱷魚的下顎投影為一條藍線,以13條SMMA開始。該線在其以下值上平滑了八個K線。
牙齒。鱷魚的牙齒被投射為一條紅線,並8條SMMA開始。該線在其以下值上平滑了五個K線。
嘴唇/嘴巴。鱷魚的嘴唇/嘴巴被投射為一條綠線,並以5條SMMA開始。該線在其以下值上由三個條平滑。
重點
威廉鱷魚指標是用於技術分析的絕佳工具。它使用三個平滑的移動平均線為交易者在市場分析中描繪更清晰的畫面。此外,該指標同時應用收斂和背梨以建立有用的交易訊號。鱷魚的下巴本質上轉得較慢,而指標的嘴唇/嘴巴轉得更快。
當嘴唇向下穿過其他線時,這是明顯的賣空機會。如果嘴唇向上交叉,通常表示買入機會。當線向下交叉時,鱷魚通常被稱為“休眠”,而當它向上交叉時,通常被稱為“甦醒”。
如何觀察
在使用該指標時,交易者和投資者還應了解並注意其他術語。我們將在這裡為您介紹。
“張大嘴巴吃東西。” 該短語指的是威廉鱷魚指標的三條線分開並向上或向下移動以表示交易時段。這些期間特定於多頭或空頭部位的管理。
“吃飽了。” 該短語指的是指標線以及它們收斂成窄帶的時間。如果線條向更水平的方向移動,則可能代表趨勢即將結束。這會提醒交易者可能的交易部位調整併保持盈利結果。
“休眠。”該短語指的是市場異常波動,指標以高速率觸發誤報訊號。這在下面的“限制”部分中有更多解釋。
限制
如上所述,當三條線相互交叉時,威廉鱷魚指標會發出誤報訊號。這種情況經常發生,而且通常是由於市場環境動盪造成的。這被稱為“休眠”。那麼,如果交易者的指標處於“休眠狀態”,交易者應該怎麼做?Williams建議交易員在場外等待。這是該指標的主要缺點之一,因為大範圍內的太多喚醒訊號很可能會失敗,並且最終可能會觸發洗盤。那是當價格看到可以改變交易和趨勢的極端方向支點時。
總結
威廉鱷魚指標是一種趨勢追蹤指標,它使用平滑的移動平均線來分析市場趨勢,並為一般分析提供更平滑的結果。這在指標的計算中很明顯。鱷魚分為三個主要部分:顎、牙齒和嘴唇/嘴巴。每個因素都有不同的訊號,提醒交易者注意市場趨勢。