威廉姆斯鳄鱼线
定义
威廉姆斯鳄鱼线指标是一种趋势跟踪指标,基于金融市场和个别证券的趋势通常低于横向区间的趋势。它使用平滑的移动平均线来分析市场趋势。 该指标的开发考虑到机构和个人通常在市场趋势强劲时获得更多利润。
历史
威廉姆斯鳄鱼线指标首先由经验丰富的交易员Bill Williams引入。威廉姆斯是市场心理学的早期先驱,他认为投资者和交易者的情绪会影响市场表现和随后的趋势。
计算
威廉姆斯鳄鱼线指标在其计算中使用简单移动平均线 (SMA) 指标,以将更多平滑的平均线添加到通常减慢指标转向的结果中。该指标使用三个平滑的移动平均线 (MA) 设置在斐波那契数的周期:5、8 和 13。
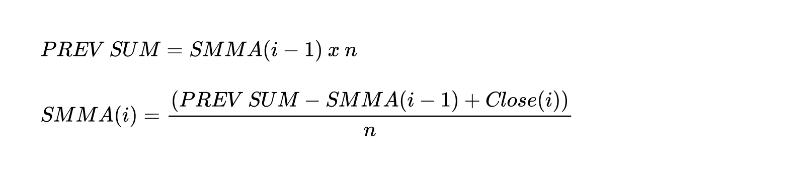
威廉姆斯鳄鱼线指标的计算由以下公式表示:
简单移动平均线 (SMA):

后续值如下:

释义:
SUM1:n 个时期的收盘价之和
PREVSUM:前一根K线的平滑总和
SMMA1:第一根K线的平滑移动平均线
SMMA(i):当前K线的平滑移动平均线(不包括第一根K线)
CLOSE(i):当前收盘价
n:选择的平滑周期
使用的三个移动平均线以三种主要方式构成鳄鱼线:下巴、牙齿和嘴唇/嘴巴。这些成分的开盘和收盘取决于它们对不断变化的趋势和类似交易区间的后续反应。让我们更深入地了解一下威廉姆斯鳄鱼线指标的每个功能。
颚。鳄鱼的下颚投影为一条蓝线,以 13 条 SMMA 开始。该线在其以下值上平滑了八根K线。
牙齿。鳄鱼的牙齿被投射为一条红线,并从八条 SMMA 开始。该线在其以下值上平滑了五根K线。
嘴唇/嘴巴。鳄鱼的嘴唇/嘴巴被投射为一条绿线,并以五根K线 SMMA 开始。该线在其以下值上平滑了三根K线。
要点
威廉姆斯鳄鱼线指标是用于技术分析的绝佳工具。它使用三个平滑的移动平均线为交易者在市场分析中描绘更清晰的画面。此外,该指标同时应用收敛和发散以建立有用的交易信号。鳄鱼的下巴本质上转得较慢,而指标的嘴唇/嘴转得更快。
当嘴唇向下穿过其他线时,这是明显的卖空机会。如果嘴唇向上交叉,通常表示买入机会。当线向下交叉时,鳄鱼通常被称为“睡眠”,而当它向上交叉时,通常被称为“苏醒”。
要找什么
在使用该指标时,交易者和投资者还应了解并注意其他术语。 我们将在这里为您分解一下。
“张大[它的]嘴巴吃东西。” 该短语指的是威廉姆斯鳄鱼线指标的三条线分开并向上或向下移动以表示交易时段。这些期间特定于多头或空头仓位的管理。
“吃饱了。” 该短语指的是指标线以及它们收敛成窄带的时间。如果线条向更水平的方向移动,则可能意味着趋势即将结束。这会提醒交易者注意可能的交易仓位调整并保持盈利结果。
“休眠。” 该短语指的是市场异常波动,指标以高速率触发误报信号。这在下面的“限制”部分中有更多解释。
限制
如上所述,当三条线相互交叉时,威廉姆斯鳄鱼线指标会发出误报信号。这种情况经常发生,而且通常是由于市场环境动荡造成的。 这被称为“休眠”。那么,如果交易者的指标处于“休眠状态”,交易者应该怎么做?威廉姆斯建议交易员在场外等待。这是该指标的主要缺点之一,因为大范围内太多的唤醒信号很可能会失败,并且最终可能会触发洗盘。那是当价格看到可以改变交易和趋势的极端方向支点时。
总结
威廉姆斯鳄鱼线指标是一种趋势跟踪指标,它使用平滑的移动平均线来分析市场趋势并为一般分析提供更平滑的结果。这在指标的计算中很明显。鳄鱼分为三个主要部分:下巴、牙齿和嘴唇/嘴巴。每个因素都有不同的信号,提醒交易者注意市场趋势变动。