注意: 本文檔適用於 Nuvexlens 高級圖表分析系統。Nuvexlens 完美支持各類技術指標與策略回測,助您做出更明智的交易決策。
成交量加權移動均線(VWMA)
定義
成交量加權移動均線(VWMA)指標非常適合分析成交量。如果您使用簡單移動均線(SMA)或成交量加權平均價格(VWAP),您已經在了解VWMA複雜性的道路上了。VWMA還可用於追蹤價格-成交量、識別趨勢以及查看任何時間週期內的加權交易量。
計算
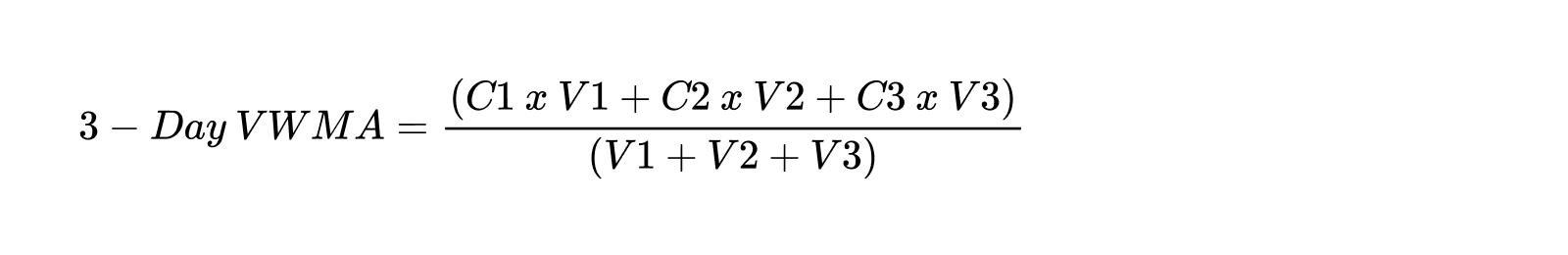
以下公式可用於計算 VWMA:

定義:
VWMA = 成交量-加權移動均線
C = 收盤價
V = 成交量
簡單移動均線(SMA)是基於過去n個收盤價的平均值。它為等式中的每個收盤價賦予相同的權重。VWMA非常相似,只是它對每個收盤價賦予不同的權重,並且取決於該時間週期的成交量。請注意,如果3天VWMA(V3)的成交量較高,則其收盤價(C3)最終會對計算值產生更大影響。
重點
移動平均線(MA)用途廣泛。它的斜率可用於過濾趨勢,與價格相比可以確定動量,還可以確定支撐位或阻力位。然而,考慮到這一點,我們應該知道VWMA與大多數移動平均線(即:SMA、EMA)不同,不應這樣部署。
VWMA與成交量數據具有獨特的整合,因此需要與不共享該標準的其他MA分開考慮。例如:將VWMA與SMA結合使用,交易者可以最大限度地利用分析工具並突顯成交量訊號,確定增加成交量數據的影響,並包括成交量權重以簡化交易。
如何觀察
通常,VWMA指標顯示成交量隨著市場趨勢而增加,反之則減少。當同時使用VWMA和SMA時,如果VWMA高於SMA,通常代表在市場收盤走高的日子裡成交量更高(已經)。這也稱為正常工作日。相反,如果VWMA低於SMA,則可能代表市場收低時(下跌日)的成交量較高。
總結
成交量加權移動均線指標可用於追蹤價格-成交量、確定與市場趨勢相關的加權成交量以及突顯成交量訊號和數據。VWMA最好與其他技術分析指標和價格形態一起使用,特別是與SMA指標配對使用時。