成交量加权移动平均线 (VWMA)
定义
成交量加权移动平均线 (VWMA) 指标非常适合分析成交量。如果您使用简单移动平均线 (SMA) 或成交量加权平均价格 (VWAP),您已经在了解VWMA复杂性的道路上了。VWMA还可用于跟踪价格-成交量、识别趋势以及查看任何时间段内的加权成交量。
计算
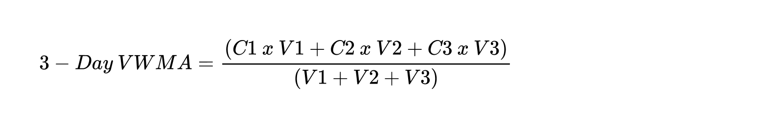
以下公式可用于计算VWMA:

释义:
VWMA = 成交量加权移动平均线
C = 收盘价
V = 成交量
简单移动平均线 (SMA) 是基于过去 n 个收盘价的平均值。它为等式中的每个收盘价赋予相同的权重。VWMA非常相似,只是它对每个收盘价赋予不同的权重并且取决于该时期的成交量。 请注意,如果 3 天VWMA(V3)的成交量较高,则其收盘价 (C3) 最终会对计算值产生更大影响。
要点
移动平均线 (MA) 用途广泛,用途广泛。它的斜率可用于过滤趋势,与价格相比可以确定动量,还可以确定支撑位或阻力位。然而,考虑到这一点,我们应该知道VWMA与大多数移动平均线(即 SMA、EMA)不同,不应这样部署。
VWMA与成交量数据具有独特的集成,因此需要与不共享该标准的其他MA分开考虑。例如,通过将VWMA与SMA结合使用,交易者可以最大限度地利用分析工具并突出显示成交量信号,确定添加成交量数据的影响,并包括成交量权重以简化交易。
要找什么
通常,VWMA指标显示成交量随着市场趋势而增加,反之则减少。当同时使用VWMA和SMA时,如果VWMA高于SMA,通常意味着在市场收盘走高的日子里成交量更高(已经)。这也称为正常工作日。 相反,如果VWMA低于SMA,则可能意味着市场收低时(下跌日)的成交量较高。
总结
成交量加权移动平均线指标可用于跟踪价格-成交量、确定与市场趋势相关的加权成交量以及突出成交量信号和数据。VWMA最好与其他技术分析指标和价格形态一起使用,特别是与SMA指标配对使用时。