Volume-Weighted Moving Average (VWMA)
Definition
The Volume-Weighted Moving Average (VWMA) indicator is great for analyzing volume. If you use the Simple Moving Average (SMA) or the Volume Weighted Average Price (VWAP), you’re already well on your way to understanding the complexity of the VWMA. The VWMA is also useful for tracking price-volume, identifying trends, and looking at weighted volume over any period of time.
Calculations
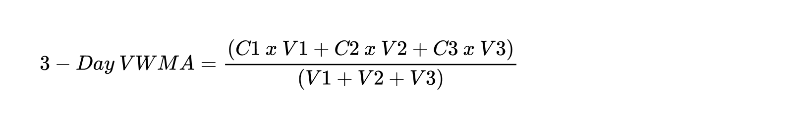
The following formula can be used to calculate the VWMA:

Definitions:
VWMA = Volume-Weighted Moving Average
C = Closing price
V = Volume
The Simple Moving Average (SMA) is an average based on the past n closing prices. It gives the same weight to each closing price within the equation. The VWMA is quite similar, except it gives a different weight to each closing price and depends on the volume of that period. Note that if the volume of a 3-day VWMA (V3) is higher, then its closing price (C3) will have more effect on the calculated value in the end.
Takeaways
A Moving Average (MA) has many uses and is quite versatile. It’s slope can be used to filter trends, it can determine momentum when compared to price, and it can also identify support or resistance levels. With this in mind, however, we should know that the VWMA is not like most moving averages (i.e. SMA, EMA) and should not be deployed as such.
The VWMA has unique integration with volume data and therefore needs to be considered separately from other MAs that don’t share that criteria. By using the VWMA with the SMA for example, traders could maximize their use of analysis tools and highlight volume signals, identify the impact of adding volume data, and include volume weighting to ease trades.
What to look for
Typically, the VWMA indicator shows volume increasing along with the market trend and decreasing against it. When using the VWMA and SMA in tandem, if the VWMA is above the SMA, it generally means that volume is higher (has been) on the days when the market closed higher. This is also known as up days. Conversely, if the VWMA is below the SMA, it could mean that there was higher volume for days when the market closed lower (down days).
Summary
The Volume-Weighted Moving Average indicator is useful for tracking price-volume, determining weighted volume in relation to market trends, and highlighting volume signals and data. The VWMA is best used with other technical analysis indicators and price patterns, and specifically when paired with the SMA indicator.